‘Amor-máticas’: otras formas (curiosas) de celebrar San Valentín
Hay muchas maneras de relacionar amor y matemáticas. Os enseñamos algunas de ellas

Hoy, 14 de febrero, San Valentín, es el día del año en el que más gente demuestra su amor por la persona querida. Normalmente usan flores, bombones, mensajes románticos y regalos diversos para dar muestras de ese amor por la otra persona. Viendo la diversidad de formas mediante las cuales podemos declarar ese amor, ¿por qué no hacerlo con matemáticas?
Muchos dirán que las matemáticas y el amor tienen poca relación, pero yo creo que no es así. De hecho, hay formas muy sencillas de demostrar ese amor usando matemáticas.
¿Quién no ha dibujado un corazón a mano alzada para, después, escribir una fecha señalada o una pareja de nombres? Yo lo he hecho, y seguro que todos vosotros también, pero habitualmente ese corazón no ha quedado todo lo bonito que a uno le hubiese gustado. ¿Por qué no usar matemáticas para dibujarlo? Vamos a ello.
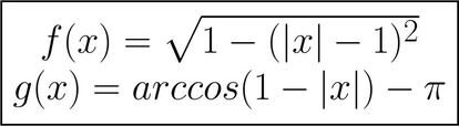
Hay muchas maneras de dibujar un corazón mediante funciones matemáticas, y en lo que sigue os voy a enseñar algunas de ellas. Echad un ojo a la siguiente imagen:

Quizás no os diga demasiado, pero si representamos conjuntamente ambas funciones nos queda este bonito corazón (la parte de color negro es la representación de la primera función y la gris es la representación de la segunda):

Precioso, ¿verdad? Lo podemos hacer aún más amoroso, dibujando el trazo en rojo e incluso rellenándolo completamente del color del amor:

Como decíamos antes, esta no es la única manera de dibujar un corazón con matemáticas. Os dejo a vosotros indagar por internet para encontrar otras opciones y, si queréis, hablarnos sobre ellas en los comentarios.
Pero no solamente podemos dibujar esos corazones en dos dimensiones, sino que también podemos obtener corazones tridimensionales, y además también de varias maneras. Una de ellas es representar la superficie cuya ecuación implícita es la que podéis ver a continuación:

con lo que obtendríamos el precioso corazón tridimensional siguiente, que además también podemos colorear de rojo:

Y, de nuevo, hay más opciones aparte de las mencionadas aquí. Si encontráis alguna más, os agradeceríamos que las compartierais con nosotros mediante un comentario.
Pero estos dibujitos no son, ni mucho menos, la única manera en la que uno puede declarar su amor. ¿Quién no ha usado alguna canción para ello? Todos, ya sea cantándola o poniéndola como música de fondo, hemos usado alguna vez una canción para dar muestras de nuestro amor por alguien. Pues sí amigos, también hay canciones de amor y matemáticas. La que más me gusta es del grupo (sí, grupo) The Klein Four Group, y se titula Finite Simple Group (of order two). Este es el vídeo:
Corazones, canciones… ¿Por qué no textos? Las cartas de amor, en las que damos muestras del mismo o relatamos nuestra propia historia, son también muy habituales en estas fechas y en esos momentos. Y las matemáticas también han sido protagonistas de alguna de estas historias. Por eso, no quiero desaprovechar la oportunidad que me brinda escribir este artículo para recordar la historia de amor más maravillosa jamás contada dentro de las propias matemáticas: el romance de la derivada y el arcotangente. Si ya la conocéis, seguro que os divertiréis recordándola; y si no la conocéis estoy convencido de que os encantará. Podéis leerlo aquí.
Y, para finalizar, ¿por qué no demostrar nuestro amor por las propias matemáticas o ayudar a que la gente se enamore de ellas? Eso mismo pretende Edward Frenkel con su libro Amor y Matemáticas (Love & Math), del cual Francis Villatoro publicó una muy buena reseña hace unos años. Por cierto, Frenkel también tiene una película, Rites of Love and Math, relacionada con una fórmula del amor que igual también merece la pena ver en fechas como esta.
Aunque ya lo he sugerido en algunas partes del artículo, os vuelvo a decir que se agradecen todo tipo de aportaciones relacionadas con el amor y las matemáticas. Como siempre, los comentarios son vuestros.
Síguenos en Twitter y en Flipboard
Tu suscripción se está usando en otro dispositivo
¿Quieres añadir otro usuario a tu suscripción?
Si continúas leyendo en este dispositivo, no se podrá leer en el otro.
FlechaTu suscripción se está usando en otro dispositivo y solo puedes acceder a EL PAÍS desde un dispositivo a la vez.
Si quieres compartir tu cuenta, cambia tu suscripción a la modalidad Premium, así podrás añadir otro usuario. Cada uno accederá con su propia cuenta de email, lo que os permitirá personalizar vuestra experiencia en EL PAÍS.
¿Tienes una suscripción de empresa? Accede aquí para contratar más cuentas.
En el caso de no saber quién está usando tu cuenta, te recomendamos cambiar tu contraseña aquí.
Si decides continuar compartiendo tu cuenta, este mensaje se mostrará en tu dispositivo y en el de la otra persona que está usando tu cuenta de forma indefinida, afectando a tu experiencia de lectura. Puedes consultar aquí los términos y condiciones de la suscripción digital.
Archivado En
Últimas noticias
Albiol y el cultivo de la rabia
¿Te ha tocado la Lotería? Todo lo que debes saber para cobrar tu premio (si no lo has hecho ya)
¿Evitar el conflicto o poner las cartas sobre la mesa? Manual básico para sobrevivir a las cenas navideñas
Cinco claves para entender el hundimiento del PSOE en Extremadura (y el escenario político que se abre ahora)
Lo más visto
- Lotería de Navidad 2025 | 79432, el primer premio de la Lotería de Navidad
- Comprobar Lotería de Navidad 2025: consulta la pedrea con los números premiados
- El Gobierno y Bildu acuerdan extender a 2026 la prohibición de desahuciar a personas vulnerables
- Europa presiona a Ucrania para que contenga el éxodo de jóvenes hacia los países vecinos
- Oona Chaplin: “Le conté a James Cameron que vivía en una cabaña en los árboles y que estaba iniciando un proyecto de permacultura con una amiga”































































