El Banco de España retrasa intervenir sobre los precios de la vivienda por la ralentización
El organismo supervisor ve "ligeras señales de sobrevaloración" en el mercado inmobiliario pero esperará al año que viene para reclamar a los bancos más exigencias de capital


El Banco de España ha decidido retrasar las medidas para evitar un sobrecalentamiento del crédito y del mercado inmobiliario. El motivo: una ralentización económica que podría hacerlo por sí sola. En el organismo hay un cierto consenso sobre la necesidad de aumentar las exigencias de colchones de capital a los bancos, lo que frenaría algo la concesión de préstamos e hipotecas, ayudando a contener los precios de la vivienda. Aunque estos todavía se encuentran un 29% por debajo del pico de la burbuja, se empiezan a divisar “ligeras señales de sobrevaloración”, dice el supervisor. Sin embargo, al mismo tiempo se aprecia un incipiente deterioro del mercado inmobiliario. Así que se ha optado por aguardar un año más antes de tomar la iniciativa.
El Banco de España se plantea estas nuevas exigencias a la banca con carácter preventivo, a pesar de que el saldo de crédito concedido apenas crece y de que los precios de la vivienda están todavía un 30% por debajo de las cotas de la burbuja. Estos requisitos son los llamados colchones anticíclicos, que se crearon con la crisis y que consisten en recargos de capital ideados para imponerlos en la parte buena del ciclo y liberarlos cuando vienen mal dadas.
Ya lo explicó el gobernador Pablo Hernández de Cos en un discurso este verano: “Son numerosos los ejemplos de recesiones que no han venido precedidas de un crecimiento excesivo del crédito, lo que plantea la siguiente pregunta: ¿estos colchones deberían constituirse exclusivamente cuando el ciclo de crédito está en una fase alcista o también cuando la actividad es boyante, es decir, cuando el ciclo económico se está expandiendo? A mi juicio, es posible justificar con argumentos sólidos el uso del colchón de capital anticíclico con el objetivo de acumular capacidad de absorción de pérdidas en épocas de bonanza, de modo que pueda utilizarse después en épocas difíciles, incluso cuando no exista evidencia de un crecimiento excesivo del crédito”.
Según señala el supervisor en su Informe de Estabilidad Financiera, aunque no hay evidencia de riesgos sistémicos, los indicadores están “convergiendo” hacia unas zonas donde deberían empezar a activarse los colchones, sobre todo en el mercado inmobiliario y en el saldo de crédito. “El aumento sostenido de los precios de la vivienda todavía no se ha traducido en una sobrevaloración generalizada”, afirma. Para medirlo se toma un grupo de indicadores basados en la evolución de los precios, las rentas de los hogares, el coste del alquiler y los tipos de interés.


Precio de la vivienda
Base 100 = máximo (III trimestre de 2007)
Precio nominal
Precio real (sin inflación)
100
90
80
70
60
50
40
30
30
20
0
2000
2005
2010
2015
2019
Compraventa de vivienda
Base 100 = máximo (III trimestre de 2007)
Total
Segunda mano
Nuevas
800
700
600
500
400
300
200
100
0
2010
2015
2019
Fuente: Banco de España.
EL PAÍS

Precio de la vivienda
Base 100 = máximo (III trimestre de 2007)
Precio nominal
Precio real (sin inflación)
100
90
80
70
60
50
40
30
30
20
0
2000
2005
2010
2015
2019
Compraventa de vivienda
Base 100 = máximo (III trimestre de 2007)
Total
Segunda mano
Nuevas
800
700
600
500
400
300
200
100
0
2010
2015
2019
Fuente: Banco de España.
EL PAÍS

Precio de la vivienda
Compraventa de vivienda
Base 100 = máximo (III trimestre de 2007)
Base 100 = máximo (III trimestre de 2007)
Total
Precio nominal
Segunda mano
Precio real (sin inflación)
Nuevas
800
100
90
700
80
600
70
500
60
400
50
40
300
30
200
30
100
20
0
0
2010
2015
2019
2000
2005
2010
2015
2019
Fuente: Banco de España.
EL PAÍS
En cuanto al crédito brindado al sector privado no financiero, este se hundió con la crisis desde el 260% del PIB hasta estabilizarse en el 132%. La cifra se halla ahora en la media de la eurozona y supone unos 30 puntos más que cuando España entró en la moneda única. Que haya unos 30 puntos más de deuda se justifica porque en la eurozona los tipos son más bajos. Dicho esto, el supervisor sostiene que se ha alcanzado un punto en el que hay que empezar a vigilar, ya que las cantidades son grandes y, según sus indicadores, se entraría en un terreno vulnerable de darse un recorte de rentas o una subida de tipos.
En general, el diagnóstico de la institución es que para no repetir errores hay que empezar a construir estos colchones con tiempo, incluso si aún se está lejos de los parámetros de una burbuja. Máxime cuando además las entidades tienen unos niveles de capital bajos, a la cola de la UE.


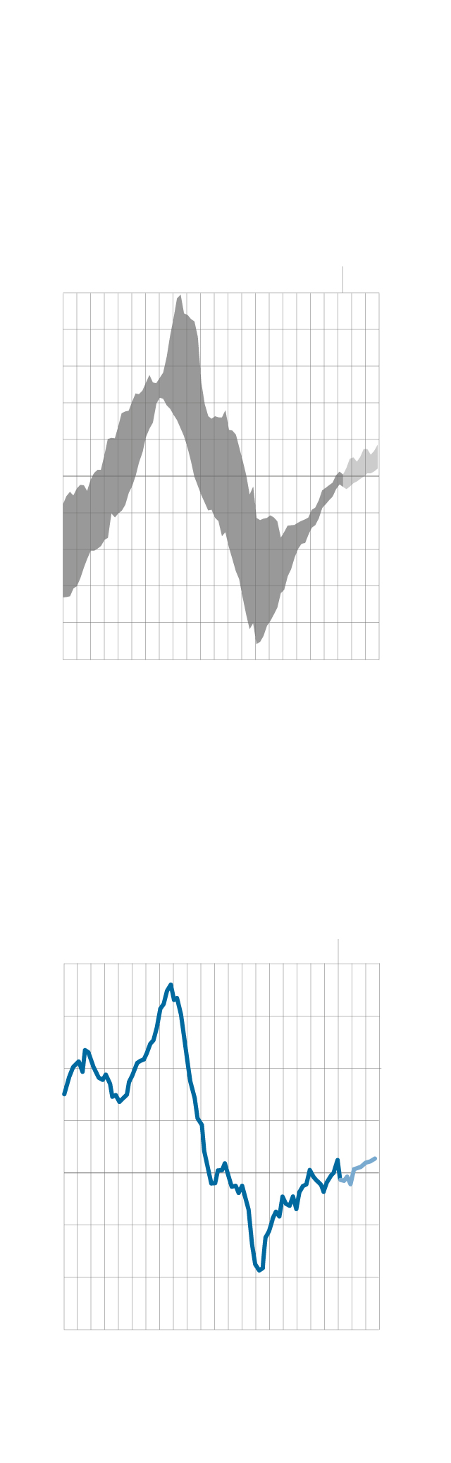
Indicadores de desequilibrio
en los precios
El área sombreada representa la franja entre mínimos y máximos de un grupo de indicadores del sector inmobiliario basados en precios, rentas, coste de alquiler y tipos de interés.
En puntos
Previsión
50
40
30
20
10
0
–10
–20
–30
–40
–50
2000
2005
2010
2015
2020
Intensidad del crédito
Se calcula como el cambio anual en el crédito al sector privado no financiero dividido por el PIB acumulado de los últimos cuatro trimestres.
Previsión
40
30
20
10
0
–30
–20
–30
2000
2005
2010
2015
2020
Fuente: Banco de España.
EL PAÍS

Indicadores de desequilibrio
en los precios
El área sombreada representa la franja entre mínimos y máximos de un grupo de indicadores del sector inmobiliario basados en precios, rentas, coste de alquiler y tipos de interés.
En puntos
Previsión
50
40
30
20
10
0
–10
–20
–30
–40
–50
2000
2005
2010
2015
2020
Intensidad del crédito
Se calcula como el cambio anual en el crédito al sector privado no financiero dividido por el PIB acumulado de los últimos cuatro trimestres.
Previsión
40
30
20
10
0
–30
–20
–30
2000
2005
2010
2015
2020
Fuente: Banco de España.
EL PAÍS

Indicadores de desequilibrio
en los precios
Intensidad del crédito
El área sombreada representa la franja entre mínimos y máximos de un grupo de indicadores del sector inmobiliario basados en precios, rentas, coste de alquiler y tipos de interés.
Se calcula como el cambio anual en el crédito al sector privado no financiero dividido por el PIB acumulado de los últimos cuatro trimestres.
En puntos
Previsión
Previsión
50
40
40
30
30
20
20
10
10
0
0
–10
–20
–30
–30
–20
–40
–30
–50
2000
2005
2010
2015
2020
2000
2005
2010
2015
2020
Fuente: Banco de España.
EL PAÍS
Sin embargo, la desaceleración ha cambiado los planes del Banco de España. En principio, prevé que se seguirá creciendo pero a unos ritmos más moderados y con unos riesgos crecientes. En el inmobiliario advierte de una ralentización iniciada desde finales de 2018 por la menor demanda interna, a pesar de las condiciones de financiación y la creación de empleo, ahora algo menor. La incertidumbre se ha trasladado al mercado, afirma en el informe. Y destaca que se han endurecido los criterios para dar hipotecas. Aun así, apunta que “los precios siguen creciendo, si bien con una cierta desaceleración, por lo que habrá que vigilar su evolución”.
Ante un enfriamiento que podría corregir esta situación, el Banco de España ha concluido que esperará. No quiere precipitarse y ponerlos en marcha para luego tener que desactivarlos. Así le sucedió al Banco de Inglaterra, que los aprobó para tener que retirarlos casi de inmediato por el referéndum del Brexit.
En el supuesto de que se confirmase el escenario central y solo hubiese una ralentización hacia crecimientos más bajos pero estables, entonces en 2020 se aprobarían estos requisitos adicionales de solvencia. Una vez impuestos, las entidades tendrían un año para conseguir el capital y en 2021 estarían en vigor. En el proceso la banca se vería obligada a frenar algo el crédito porque cuanto más presten más capital necesitarán como colchón. Países como Francia ya los han activado. Hasta un total de siete de los 19 del euro. Su aplicación depende del regulador nacional.
Este mismo miércoles, el vicepresidente del BCE, Luis de Guindos, ha pedido que estos colchones se eleven en la zona euro para prepararse ante una potencial crisis. La declaración ha provocado que las entidades se desplomen en Bolsa.
El Banco de España quiere que se amasen unos colchones suficientes para cuando haga falta. Sin embargo, también intenta suavizar la entrada en vigor para que los cambios de comportamiento no sean bruscos. Por eso, es importante introducirlos poco a poco. Según explican fuentes del banco, los costes de aplicarlos así son bajos y, en cambio, los beneficios resultan muy altos cuando en un momento de necesidad estos recursos se pueden liberar con rapidez y permiten a las entidades no reducir tanto el crédito.
Tu suscripción se está usando en otro dispositivo
¿Quieres añadir otro usuario a tu suscripción?
Si continúas leyendo en este dispositivo, no se podrá leer en el otro.
FlechaTu suscripción se está usando en otro dispositivo y solo puedes acceder a EL PAÍS desde un dispositivo a la vez.
Si quieres compartir tu cuenta, cambia tu suscripción a la modalidad Premium, así podrás añadir otro usuario. Cada uno accederá con su propia cuenta de email, lo que os permitirá personalizar vuestra experiencia en EL PAÍS.
¿Tienes una suscripción de empresa? Accede aquí para contratar más cuentas.
En el caso de no saber quién está usando tu cuenta, te recomendamos cambiar tu contraseña aquí.
Si decides continuar compartiendo tu cuenta, este mensaje se mostrará en tu dispositivo y en el de la otra persona que está usando tu cuenta de forma indefinida, afectando a tu experiencia de lectura. Puedes consultar aquí los términos y condiciones de la suscripción digital.
Sobre la firma






























































